分类:教师资格/高中    来源:fenbi
我国北斗三号最后一颗组网卫星发射成功的同时,央视新闻与千寻位置联合发布了“呼叫北斗”H5互动小应用,用户可以扫描二维码实时获取北斗卫星数据,知道在他所处的位置上有多少颗北斗卫星可以提供服务“陪伴着他”。这个小应用迅速火遍全网,7天之内,全球已有超过1700万人通过这个小应用来“呼叫北斗”。该例子中扫描二维码采用的关键技术是( )。

2021年2月19日,公安机关接群众举报,网民“辣笔小球”在网络上发布恶意歪曲事实真相、诋毁贬损5名卫国戍边英雄官兵的违法言论,造成极其恶劣的社会影响。南京市公安局高度重视,立即开展调查,于当晚将发布违法言论的仇某某(网名“辣笔小球”)抓获,仇某某对自己的行为供认不讳,被南京警方以涉嫌寻衅滋事罪刑事拘留。下列说法正确的是( )。
在某些商场、店铺,安装带有人脸识别功能的摄像头,使用“无感式”人脸识别技术在未经同意的情况下擅自采集消费者人脸信息,分析消费者的性别、年龄、心情等,进而采取不同营销策略。人脸识别的滥用可能会造成安全隐患,则以下说法不正确的是( )。
一个时长为30秒,800×600像素,16位色,25帧/秒的未经压缩的AVI格式无声视频文件, 使用视频编辑软件进行压缩后,其部分配置属性如下图所示,则其压缩比约为( )。

SQL的查询语句“SELECT所属部门,AVG(工资) AS 平均工资 FROM 员工数据库WHERE 所属部门 NOT LIKE "销售部门" GROUP BY 所属部门”的含义为( )。
某地考试规定,考试成绩不低于75分为合格,下图是根据成绩判断是否合格的部分流程图,如果输入的成绩为70,则该流程的执行顺序为( )。

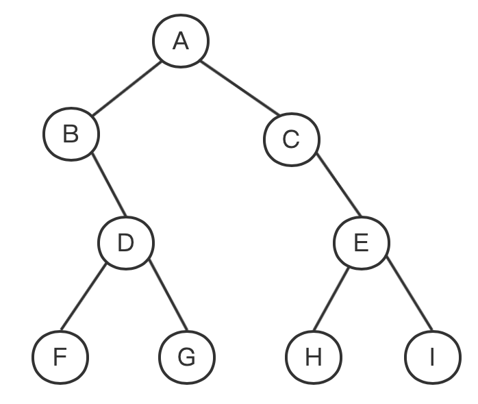
某二叉树结构如下图所示,中序遍历的结果是( )。

一个完整的数字签名过程包括验证和( )两个步骤。
以下属于网络安全威胁的是( )。
设有关系模式R(A,B,C,D,E),R旳函数依赖集:F={A→B,E→D, BC→D,CD→A}。R的候选码为( )。
某21位二进制代码100101011010011110101,已知该代码由3个加密的英文字符组成如下表所示。加密方法是:将原来的每个字符的ASCII码数值加1,则原字符串是( )。

有五个相互可直达且距离已知的学校A、B、C、D、E,如下表所示,调研员从学校A出发,去每个学校各调研一次,最后回到学校A,请找出一条路径最短的路线( )。

阅读如下Python程序,正确的输出应该是( )。

在Python中,函数
的数据类型是( )。
若通信协议使用的生成多项式为,接收方接收到的比特串是101011110,经检测传输结果正确,则该比特串的冗余位是( )。
请写出三个当前人工智能比较成熟的应用,并简要说明其用途。
猴子第一天早上摘下若干桃子,当即吃了一半,还不过瘾,又多吃了一个,第二天早上有将剩下的桃子吃了一半,又多吃了一个。以后每天早上都吃前一天早上剩下的一半多一个。到了第十天早上想再吃时发现只剩下一个了。请用C语言或者Python语言编程,求第一天早上猴子一共摘了多少个桃子。
《普通高中信息技术课程标准(2017年版2020年修订)》指出,高中信息技术必修二模块,通过本模块要完成“信息社会特征”“信息系统组成与应用”“信息安全与信息社会责任”三部分内容,请简述必修二模块的整体学习目标。
缺
缺
缺
缺
缺