分类:行测/湖北    来源:fenbi
中国共产党第十九次全国代表大会的主题是:( ),高举中国特色社会主义伟大旗帜,决胜全面建成小康社会,夺取新时代中国特色社会主义伟大胜利,为实现中华民族伟大复兴的中国梦不懈奋斗。
伟大斗争,伟大工程,伟大事业,伟大梦想,紧密联系、相互贯通、相互作用,其中起决定性作用的是( )。
从十九大到二十大,是“两个一百年”奋斗目标的历史交汇期。我们既要全面建成小康社会、实现第一个百年奋斗目标,又要乘势而上开启全面建设( )新征程,向第二个百年奋斗目标进军。
党的十九大首次把党的( )纳入党的建设总体布局,突出了其统领地位,是马克思主义党建理论的重大创新,意义重大而深远。
坚持和发展中国特色社会主义的总任务是实现社会主义现代化和中华民族伟大复兴,在全面建成小康社会的基础上,分两步走,在本世纪中叶建成富强民主( )的社会主义现代化强国。
①文明
②和谐
③幸福
④美好
⑤美丽
目前,我国经济已由高速增长阶段转向高质量发展阶段。( )是当前我国经济发展跨越由“量”到“质”关口的迫切要求,也是建设社会主义现代化国家的坚实基础。
党的十九大提出,决胜全面建成小康社会必须打好( )三大攻坚战。
①区域协调发展
②防范化解重大风险
③精准脱贫
④污染防治
⑤乡村振兴
监督执纪“四种形态”体现了我们党惩前毖后、治病救人的一贯方针。其中第一种形态是指:
①经常开展批评和自我批评
②约谈函询
③群众民主评议
④组织调整
深化国家监察体制改革,组建国家、省、市、县监察委员会,同党的纪律检查机关合署办公,实现对( )监察全覆盖。
创新、协调、绿色、开放、共享的发展理念被写入新修改的宪法。五大新发展理念是辩证统一的整体,创新是引领发展的第一动力,协调是持续发展的内在要求,绿色是永续发展的必要条件,开放是国家繁荣发展的必由之路,共享是中国特色社会主义的本质要求。
上述新理念体现了唯物辩证法的:
①普遍联系和永恒发展的观点
②两点论和重点论统一的原理
③实践是检验真理的唯一标准
④具体情况具体分析的基本方法
党的思想路线的核心是实事求是。毛泽东同志指出,“‘实事’就是客观存在着的一切事物,‘是’就是客观事物的内部联系,即规律性,‘求’就是我们去研究”。
从马克思主义认识论的角度看,实事求是的哲学内涵是:
以下哪句话表达了“以人民为中心”发展思想的哲学内涵?
某教授给大学新生出了一道测试题,一加一等于几?学生们想:这么简单的题,三岁小孩都会,看来其中必有他意。结果的同学都没给出答案,
的同学回答是“三”,
的同学答案五花八门。教授公布答案是“二!”同学们面面相觑。教授说:“一加一等于二,这是真理,不能、也不会因为外界因素的改变而改变。”
教授的话体现了:
十九大报告提出,我国社会主要矛盾已经转化为“人民日益增长的美好生活需要和不平衡不充分的发展之间的矛盾”。
这在哲学上表明:
中国特色社会主义先进文化是在社会主义革命、建设尤其是在改革的伟大实践中,创造面向现代化、面向世界、面向未来的民族化的大众的文化,反映了最广大人民群众的根本利益,反映了当今社会发展的时代特征和历史需求。
从社会存在和社会意识的关系看,以上叙述表明中国特色社会主义文化是:
新“四大发明”——高铁、网购、支付宝、共享单车,已经深入到人们的生活里。高铁跑出“中国速度”,拉近城市之间的距离;优质商品通过发达的电商平台,到达世界各地消费者的手中;扫码支付引领消费时尚,让不带钱包出门成为常态;共享单车为出行“最后一公里”提供解决方案,有效缓解交通拥堵······
从历史唯物主义角度看,上述变化表明科学技术是:
党和国家机构改革是推进国家治理体系和治理能力现代化的一场深刻变革,是党和国家工作重心转移、社会主义市场经济发展和各方面工作不断深入的必然要求。
我国改革开放以来共进行了七次机构改革,其所依据的哲学理论基础是:
明代王阳明与友人郊游。友人指着悬崖峭壁上的一棵花树问他,这根树上的花在山中自开自落,与我们的心有什么关系呢?王答,你没来看此树的花时,此花同你的心一样“同归于寂”。现在你来看时,此花颜色形态顿时明白起来,可见此花不在你心外,而在你心中。心外无物、心外无事、心外无理。
王阳明的观点属于( )典型代表。
一个单位发展的好坏是由领导的决策水平、职工的主观努力以及外部环境等多方面造成的。从因果关系来看,这是:
坚持党管农村工作,确保党在农村工作中始终( ),为乡村振兴提供坚强有力的政治保障。
扎实推进抓党建促乡村振兴,要突出政治功能,提升( ),把农村基层党组织建成坚强战斗堡垒。
缩小城乡收入差距,关键要拓宽农民增收渠道,鼓励农民勤劳守法致富,增加农村低收入者收入,扩大农村中等收入群体,保持农村居民收入( )城镇居民。
落实农村土地承包关系稳定并长久不变政策,第二轮土地承包到期后再延长( )。这个政策安排与( )战略构想在时间节点上高度契合。
实施食品安全战略,要健全农产品质量和食品安全监管体制,重点提高( )监管能力。
促进小农户和现代农业发展有机衔接的有效措施是:
①培育各类专业化市场化服务组织
②发展经营者多样化的联合与合作
③推动土地经营权流转和集中
④发挥新型农业经营主体带动作用
坚持精准扶贫、精准脱贫,要注重扶贫同扶志、扶智相结合,把( )放在首位。
确保国家粮食安全是治国理政的头等大事,必须深入实施“藏粮于地”“藏粮于技”战略,把中国人的饭碗牢牢端在自己手中。以下属于“藏粮于地”“藏粮于技”的措施是:
①建设高标准农田
②繁育新型良种
③开荒扩种
④推进农业机械化
处理好农民和( )的关系,是深化农村改革的主线,也是实施乡村振兴战略的重大政策问题。
完善村民自治制度,坚持自治为基,加强农村群众性自治组织建设,健全和创新( )领导的充满活力的村民自治机制。
2018年中央一号文件提出,坚持物质文明和精神文明一起抓,提升农民精神风貌,培育( ),不断提高乡村社会文明程度。
①文明乡风
②清新村风
③良好家风
④淳朴民风
加强农村思想道德建设,要加强( )教育,深化民族团结进步教育,加强农村思想文化阵地建设。
①爱国主义
②集体主义
③社会主义
④共产主义
在构建农村一二三产业融合发展体系时,大力开发农业多种功能,通过保底分红、股份合作、利润返还等多种形式,让农民合理分享全产业链增值收益的方法是:
①延长产业链
②扩展销售链
③提升价值链
④完善利益链
实施农村人居环境整治三年行动计划,以( )为主攻方向,稳步有序推进农村人居环境突出问题治理。
①农村垃圾
②污水治理
③厕所革命
④村容村貌提升
走乡村善治之路,要建立健全现代乡村社会治理体制,健全( )相结合的乡村治理体系。
①自治
②法治
③德治
④共治
强化乡村振兴规划引领,要加强各类规划的统筹管理和系统衔接,形成( )的规划体系。
①工农互补
②城乡融合
③区域一体
④多规合一
全面依法治国是国家治理的一场深刻革命,必须坚持厉行法治,推进:
①有法可依
②科学立法
③严格执法
④执法必严
⑤公正司法
⑥全民守法
国务院及各部门和地方各级人民政府要带头维护宪法法律权威,无论履行哪一项职能,从行为到程序、从内容到形式、从决策到执行都必须符合法律规定,让行政权力在法律和制度的框架内运行。所以:
新修订的宪法规定,监察机关办理职务违法和职务犯罪案件,应当与审判机关、检察机关、执法部门:
设区的市的人民代表大会和它们的常务委员会,在不同宪法、法律、行政法规和本省、自治区的地方性法规相抵触的前提下,可以依照法律规定制定( ),报本省、自治区人民代表大会常务委员会批准后施行。
各级人民代表大会及县级以上各级人民代表大会常务委员会选举或者决定任命的国家工作人员,以及各级人民政府、监察委员会、人民法院、人民检察院任命的国家工作人员,在就职时应当公开进行:
关于法律的正式生效时间及效力,说法正确的是:
县直机关党员王某在未核实真伪的情况下,编写了一条“某县城连续发生抢小孩案件”的信息,在微信群和朋友圈发布,引发群众恐慌,事后证明这完全是谣言。公安机关和纪检部门分别给予其治安拘留五日和党内警告。对两种措施的定性,正确的选项是:
张某以个人名义向彭某借款10万元,后彭某以该10万元属夫妻共同债务为由,起诉要求张某夫妻偿还债务。在彭某能够证明该债务( )的情况下,人民法院不支持彭某的主张。
某机关中层干部选拔任用中,党员干部杨某通过微信群进行拉票,并发放一个总金额180元的微信红包。该行为:
某机关公职人员刘某上班经常迟到早退,业余时间忙于开网店、做生意。对刘某的行为,界定正确的是:
以下选项中,属于我国著作权法保护的作品是:
诊疗活动致患者有损害,不能推定医疗机构有过错的情形是:
行政机关应当在法律授权范围内行使职权,并履行法律规定的义务和责任,既不能乱作为、滥作为,也不能不作为,否则应当承担相应的:
各级行政机关应当全面推进依法行政、加快建设法治政府。作为行政行为依据的“法”是指:
两位城管执法人员巡查时,发现有人违规在人来人往的路口设点擦皮鞋。你认为他们的做法正确的是:
根据我国宪法和法律,行政机关是权力机关的执行机关,其职权是( )授予的。
赵某寻衅滋事被甲市乙县公安局丙镇派出所民警制止,随后又送达乙县公安局对其作出拘留5日的治安处罚决定书。赵某对处罚决定不服,提起行政诉讼,应当以( )为被告。
用人单位拖欠或者未足额支付劳动报酬时,劳动者可以依法向当地人民法院申请:
行政生态因素中,政治因素指一个社会内的政治体制与政治过程中影响行政的因素,下列不属于政治因素的是:
“先谋后事者昌,先事后谋者亡”这句话强调的是要重视行政执行步骤中:
根据我国税收法法律制度,下列不属于我国现行税收种类的是:
行政组织运行的物质基础是:
在行政管理实践中,某行政管理人员受上司指导朝一个方向活动,而公众却希望他朝相反的方向活动,这时产生的冲突是:
行政惩处是指行政机关工作人员在确定违反职务义务或责任而未触犯法律的情况下所受的惩罚,是工作责任的追究方式。下列不属于行政惩处的是:
领导不仅要向下属布置工作任务,还要与下属商讨如何推进和完成任务。这种领导方式被称为:
小张大学毕业后有三种选择:选择在民企工作,年收入5万元;选择在机关工作,年收入4万元;最终他选择了就读研究生,需要年缴纳学费1万元。请问他这一选择的机会成本是:
某镇有A、B、C三个景区,如果每个景区门票价格都上涨,A、B、C景区的游客人数分别减少
、
、
。该镇想增加景区的门票收入,A、B、C景区的定价策略应分别为:
电信运营企业拟落实政府工作报告要求,将移动网络流量资费降低。下列说法正确的是:
许多成语来源于故事,下列成语故事按出现先后排序正确的是:
①悬梁刺股②李广难封③世外桃源④煮豆燃萁
下列场景可能出现在东汉的是:
关于中华人民共和国的外交,下列表述错误的是:
关于人文常识,下列表达错误的是:
下列关于古诗词的解读,表述正确的是:
关于科技常识,下列表述错误的是:
关于生物常识,下列表述错误的是:
古代丝绸之路大体有草原道、绿洲道、茶马道及海上道四条。除了汉族,北方和西北游牧民族也是丝绸之路的重要 ,他们的马队和骆驼队踏出了一条 欧亚大陆的草原丝路。
填入画横线部分最恰当的一项是:
在“重刑轻民”传统依然 的中国,编纂民法典首先就要更新观念,强化对公民私权利的立法 ,弘扬权利平等、意思自治、诚实信用、契约自由等民法的精神。
填入画横线部分最恰当的一项是:
春节期间播出的《舌尖上的中国3》,因夸大“药食同源”“药膳”“食疗”的效应,一经播出就引发 。有观众认为,里面所提到的煲汤养生并非人人适用;草药入菜也绝非“缺啥补啥”那么简单,随意食补可能 。
填入画横线部分最恰当的一项是:
应对老龄化,化解养老难题,政府 。通常说来,这种责任更多地体现于足够的政策 ,以此促进养老市场的发育和壮大。
填入画横线部分最恰当的一项是:
教育问题不仅是教育系统内的问题,也与社会其他领域有着 的联系。教育改革需要每个人对教育存有 之心,发自内心地尊重教育规律,给孩子成长提供相对宽松的环境,为教育改革尽 。
填入画横线部分最恰当的一项是:
近代,随着西方科学技术在中国传播,对科举考试落伍保守的批评 ,兴办新式学堂的实践也逐步推进。二十世纪初,终于结束了 一千三百年的科举制度。
填入画横线部分最恰当的一项是:
希腊悲剧诗人埃斯库罗斯的《俄瑞斯忒亚》反映了古代社会中始终 的两种正义观之间的紧张关系。一种观念认为,只有故意作恶才应当承担责任;另一种观念是,如果要阻止众怒,作恶者不论 如何都应当受到惩罚。
填入画横线部分最恰当的一项是:
“明者因时而变,知者随事而制。”中国特色社会主义进入新时代,我国社会主要矛盾已经转化为人民日益增长的美好生活需要和不平衡不充分的发展之间的矛盾,我国经济已由高速增长阶段转向高质量发展阶段。面对新时代新任务提出的新要求和人民群众的新期盼,通过改革使政府机构设置和职能配置适应经济社会的发展变化,进一步理顺政府与市场、政府与社会的关系,才能有力推动经济发展质量变革、效率变革、动力变革,切实解决发展不平衡不充分问题,更好满足人民对美好生活的需要。
这段文字意在强调:
当前,我国尚未脱贫人口大多是条件较差、基础较弱、贫困程度较深地区的群众。这部分人口彻底脱贫需要因地、因人施策,需要经历一个比较长的过程。但有些地方和部门领导为了提升政绩,把层层夯实脱贫攻坚责任搞成“层层加码”,不切实际地将脱贫任务增多、项目拓宽、标准拔高,把压力和矛盾交给基层干部,大幅加重基层负担。少数地方甚至直接玩起“人头”脱贫的数字游戏,一些农户年初刚戴上贫困户“帽子”,年底就宣布成功“摘帽”。这些忽视时序节奏和质量要求的冒进做法,与中央要求以及人民群众尤其是困难群众的实际诉求背道而驰,必须坚决予以纠正。
这段文字意在强调脱贫攻坚应:
《中国地理国情蓝皮书》近日发布。以蓝皮书形式,出版第一次全国地理国情普查成果,这在国内尚属首次。全书借助大量的色彩图表,系统直观地描述了我国地表自然资源禀赋与利用、地表生态格局、基本公共服务均等化、区域经济发展和城市建设的空间分布整体状况,对比了地域之间的差异,在宏观尺度上反映了生态环境与经济发展的关系,以及自然要素与人文要素的耦合程度。蓝皮书由中国测绘科学研究院等机构策划出版,旨在为国家和地方提供一套客观、科学的数据和分析结果。
下列说法与这段文字相符的是:
清代有个叫叶存仁的官员,从政三十余年,甘于淡泊,从不苟取。一次离任时,僚属临别馈赠礼品,为避人耳目,特地夜里送来。叶存仁见状将馈赠品原封退回,并赋诗一首相赠:“月白风清夜半时,扁舟相送故迟迟。感君情重还君赠,不畏人知畏己知。”
这个故事可以用来佐证为官从政应:
古人云:“春秋之治天下也,天下为公,选贤与能,讲信修睦,禁攻寝兵,勤政爱民,劝商惠工,土地辟,田野治,学校昌,人伦明,道路修,游民少,废疾养,盗贼息,由乎此者,谓之中国。反乎此者,谓之夷狄。”范文澜亦认为:“中国、夏、华三个名称,最基本的含义还在于文化。”
这段文字意在强调:
中国古代文人画家在具体的画面处理中,比单纯追求形象与色彩变化的西方绘画艺术显得更有广度和深度。它不仅追求表现对象的“实”处,还以太极中的“阴阳”的理念追求其相对“虚”的空间,提出了“计白当黑”的画论,将其表现的形象延伸到一个更大的审美空间,达到了“此时无声胜有声”的诗意境界。
在这段话之后,作者最有可能谈及的是:
“生态包袱”是指生产单位重量产品所需要投入的物质总量。如:一个10克重的金戒指,生态包袱是3500千克;一件170克重的汗衫,生态包袱是226千克。在生态系统最下游减少一个单位的产品消耗,不但可以减少大量的资源投入,而且可以减少数十倍、数百倍甚至数千倍的污染排放,这对于保护生态环境、实现可持续发展意义重大。因此,应引导人们树立勤俭节约的消费观,形成以绿色消费、保护生态环境为荣,以铺张浪费、加剧生态包袱为耻的社会氛围。
根据这段文字,对“生态包袱”理解有误的是:
①可见开普勒在壮大系外行星系统家族的过程中扮演了重要角色
②据NASA官网的数据显示,开普勒发现了4496位“候选者”
③它已对超过15万个恒星系统展开了持续监控,产生了海量数据
④其中2341颗得到确认,而目前总共确认的系外行星约为3704颗
⑤通过数据分析,科学家们遴选出了众多系外行星“候选者”
⑥开普勒太空望远镜是世界首个用于探测太阳系外类地行星的飞行器
某市2017财政收入1000亿,财政赤字占当年财政收入比率为;2018年该比率降为
,预算赤字为2017年的
。该市2018年财政支出预算为:
某电信营业厅,全年营业利润符合以下模型:
,其中,
为营业利润,
为短信量,
为网络流量,
为通话量,
为其它业务。
以下解释正确的是:
去年小李年工资收入4万元,今年预计增加。今年居民消费价格指数(CPI)预计为
,据此推算,今年小李的实际购买力约增加:
某单位投入100000元用于植树,每人每天可植树30棵,人员费用40元/天,树苗每棵10元。该单位在预算范围内最多可植树:
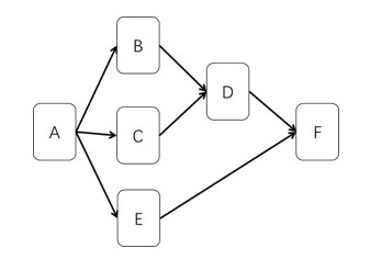
小张接手一项扶贫任务,这项任务包括A、B、C、D、E、F六部分的内容,完成这些内容所需时间分别为3天、5天、2天、1天、7天、2天,各部分之间的序次关系如下图所示。完成这项任务最少需要:

四件相同包装的快递包裹,装有不同重量的商品,每件和其他一件合称一次,得到的重量依次为8、9、10、11、12、13,已知4件空包裹的重量之和以及里面商品的重量之和均为质数。则最重的两个包裹里的商品的总重量和为:
如下图,有正方形ABCD,点E和点F分别在正方形AD和DC边上,。正方形ABCD的面积与三角形EFB的面积之比是12:5,则
( )。

张大妈买了一篮子菜,包含A、B、C三个品种,其中A菜品1斤,单价40元/斤;B菜品2斤,单价5元/斤;C菜品2.5斤,单价2元/斤。这一篮子菜的平均价格为:
大学生张明开办网店,他购买了一批夜光灯,每台8元购进20元售出。当他卖出进货量的时,不仅收回了全部购买成本,还赢利了224元。张明共购进这批夜光灯:
小杰学习制作泡菜,他需要用浓度分别为和
的盐水来调制300克浓度为
的盐水,则需要使用
的盐水:
从选项中选择最合适的一个填入问号处,使之呈现出一定的规律性。

从选项中选择最合适的一个填入问号处,使之呈现出一定的规律性。

把下面图形分为两类,使每一类都有共同特征或者规律,正确的选项是:

碳汇是指通过植树造林、种草、种植农作物、保护湿地等方式,利用植物光合作用吸收大气中的二氧化碳,并将其固定在植被和土壤中,从而降低温室气体浓度的活动或机制。主要包括森林碳汇、草地碳汇、耕地碳汇、湿地碳汇、海洋碳汇等。
根据上述定义,以下属于碳汇的是:
淘宝村是指这样一类村子。电子商务年交易额达到1000万元人民币以上;活跃网店数量达到100个,或者占本村村民户数的以上。淘宝村在带动村民致富,促进农村经济设施建设,实现乡村振兴发展。
根据上述定义,下面哪个村是淘宝村?
英法两国政府曾联合投资开发协和飞机。项目开展不久发现,继续投吧,费用剧增,且不知市场前景如何;停止投吧,以前的投入将付诸东流,结果两国不断追加投资填补漏洞,无法脱身。经济学上把这种现象称为“协和效应”,现在被用来泛指在某件事情上投入了金钱,时间或精力后,即使发现不宜继续,因各种原因还是继续投入、欲罢不能的现象。
根据上述定义,以下哪项不属于协和效应?
近年来,我国分享经济发展呈现出百花齐放、多种模式并存的局面,其中众筹分享是一种比较典型的分享经济模式,主要指利用互联网平台进行资金的大众筹集,目际不仅仅是为了筹集资金,也包含了分享投资所蕴含的风险或利润。目前,这种模式主要集中在电影视频、音乐出版、文化创意和房地产等开发项目上。
根据上述定义,以下哪项属于众筹分享?
认养农业是指消费者预付生产费用,生产者为消费者提供绿色、有机食品,在生产者和消费者之间建立一种风险共担、收益共享的生产方式,实现农村与城市、土地与餐桌的直接对接。
根据上述定义,下列情形属于认养农业的是:
泥人:黏土:泥塑
革故鼎新:墨守成规
疏浚:畅通:河道
深入:浅出
( ) 对于 星系 相当于 ( ) 对于 山脉
工人:工作:工资
联合国气象组织发布报告说,受厄尔尼诺影响,2016年是有记录以来最热年份,2017年超过2015年成为最热的非厄尔尼诺年。长期气温趋势远比单个年份的气温排名重要,而长期趋势是上升的。虽然某些地区平均气温降低,但全球总体气温是快速上升的。报告据此得出结论,地球气温自2010年以来,呈现出加速上升的趋势。
以下哪项如果为真,最能支持上述结论?
年初,A跨国公司宣布,到2030年回收再利用所有塑料包装。B跨国公司宣布,到2025年全部采用可再生和循环利用的包装材料。其他一些国际消费品巨头也纷纷作出类似承诺。媒体评论说,企业这样做并不完全是出于对环境的考虑,而是为了赢得年轻消费群体,是年轻一代的环保意识改变了企业态度。
以下哪项如果为真,最能支持媒体的意见?
埃及新近发现了一座4400年前第五王朝时期某王室女性的墓葬。古墓内有保存完好的壁画,描绘了女主人观看狩猎和捕鱼场景。引人注意的是,壁画中有一只猴子在摘果子。考古人员还在属于第十二王朝的其他王室和贵族墓葬中发现过类似壁画场景,如猴子在乐队前面跳舞。这些说明在古代埃及,猴子是王公贵族特有的宠物。
以下哪项如果为真,最能削弱上述判断?
大约5.4亿到53亿年前的寒武纪地层中,一下子出现了各种无脊椎多细胞动物化石,这被称为寒武纪大爆发。大爆发表明,尽管生命在40亿年前就在地球诞生,但多细胞动物直到寒武纪才出现,并迅速演化出各种门类。对导致寒武纪大爆发的原因,曾有一种假说认为,是因为当时大气中氧气浓度增加,可以支持更复杂、体型更大的动物。
以下哪项如果为真,最能质疑上述假说?
当前,各地正积极推进特色小镇建设。特色小镇的核心“内功”是特色产业。有些小镇为营造特色进入创建名单,大力宣传当地传统产业,如皮革、毛纺、茶叶、陶瓷等。有评论指出,实际上,一些传统产业如不进行升级改造,并嫁接互联网平台,很难焕发生机、持续增长。
从上述评论观点,可推出下面哪项结论?
某省响应建设“田园综合治理体”试点,统筹兼顾推进农业供给侧结构性改革,公布了2017年61家共享农庄的试点名单。共享农庄可以利用农村闲置资源,吸纳农村剩余劳动力,不但可以增加经营性收入,更能增加财产性收入,是解决农民持续稳定脱贫致富的有效途径,是农村经济发展的新机遇。
据此可推出:
2017年,我国文化产品和服务进出口总额1265.1亿美元,同比增长。其中,文化产品进出口总额971.2亿美元,同比增长
。文化服务进出口总额293.9亿美元,同比增长
。
文化产品方面,出口881.9亿美元,同比增长;进口89.3亿美元,同比下降
。出口的技术含量有所提升,具有较高附加值的游艺器材和娱乐用品、广播电影电视设备出口同比增长
,占比提升2个百分点至
。美国、中国香港、荷兰、英国和日本为中国文化产品进出口前五大市场,进出口额合计占比为
。这样比较上年下降1.8个百分点。我国与“一带一路”沿线国家进出口额达到176.2亿美元,同比增长
,占比提高1.2个百分点(查询后为1.3个百分点但1.3没有正好的答案,所以不修改)至
;与金砖国家进出口额43亿美元,同比增长
。
文化服务方面,进出口232.2亿元,同比增长。其中视听及相关产品许可费、著作权等研发成果使用费进口分别同比增长
和
。出口61.7亿美元,同比下降
;其中处于核心层的文化和娱乐服务、研发成果、使用费、视听及相关产品许可费等三项服务出口15.4亿美元,同比增长
,占比增提升5.7个百分点至
。
若保持2017年同比增速不变,我国文化产业和服务进出口总额将在哪年突破1500亿美元?
2016年我国文化产品进出口总额中,我国与一带一路沿线国家进出口额占比为:
2016年我国与金砖国家文化产品进出口额约占2017年的:
2017年我国文化产品进出口总额比文化服务进出口总额多约:
根据所给资料,下列表述错误的是:
2017年6月,我国在线教育用户规模达14426万人,在线教育使用率(占网民比率)达。在线教育用户中,在线教育月花费500元以内、500—1000元、1001—1999元、2000元及以上的用户占比分别为
、
、
和
。



2017年6月,我国网民人数约达到:
2017年中国在线教育用户中选择职业技能培训课和学历教育课程的人数之比约为:
2013—2016年我国在线教育市场规模增速最快的是:
截至2017年6月我国手机在线教育用户:
下列选项中,不能根据所给资料推出的是: